sábado, 5 de febrero de 2022

Hallar ∆E en términos de ΔH° y otras propiedades de PV=nRT | 🔥 Termoquímica | Química de Chang

https://youtu.be/KBkA2XtsS7A

👉 𝑬𝒏𝒖𝒏𝒄𝒊𝒂𝒅𝒐: Hallar ecuaciones para el cambio de energía interna en términos de la entalpía estándar de la reacción y un cambio de volumen a presión constante. Así como el equivalente del producto P ΔV en cantidad de sustancia y temperatura.

|| Enlace a YouTube || Mas ejercicios resueltos termoquímica || Mas ejercicios de otros capítulos || Curso de termoquímica || ¡Si te gustó, suscríbete! ||

👉 𝑫𝒆𝒎𝒐𝒔𝒕𝒓𝒂𝒄𝒊𝒐𝒏𝒆𝒔 𝒚/𝒐 𝒄𝒐𝒏𝒄𝒆𝒑𝒕𝒐𝒔 𝒕𝒆ó𝒓𝒊𝒄𝒐𝒔

https://quimicadejoselegcuantitativa.blogspot.com/2021/11/termoquimica-entalpia-reaccion.html

https://quimicadejoselegcuantitativa.blogspot.com/2022/02/Quimica-estandar-molar-especifica.html

https://quimicadejoselegcuantitativa.blogspot.com/2022/02/Quimica-trabajo-reaccion-gases.html

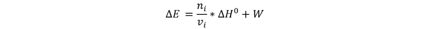
👉 𝑺𝒐𝒍𝒖𝒄𝒊ó𝒏: A presión constante asumiremos que Q = ∆H, y por lo tanto ∆E = Q + W pasa a ser ∆E = ∆H + W. Luego tomamos la expresión de ∆H que dedujimos en esta presentación en términos de la entalpía estándar y una sustancia clave, e igualamos.

Por su parte el trabajo se calcula por medio de la expansión de un gas a presión constante con signo negativo.

Para la segunda ecuación, debemos usar la idea de la ley de presiones parciales de Dalton, y asumir que si tenemos una adición/resta de volumen, también deberemos tener una adición/resta de cantidades de sustancia a temperatura constante del otro lado de la ecuación de estado de un gas ideal, por lo tanto, PV puede reemplazarse por ∆n R T.

Finalmente, debemos recordar que ya dedujimos otra alternativa para la ecuación de trabajo en este enlace, por lo tanto, podemos expresar otra función de energía interna.

👉 𝑶𝒕𝒓𝒐𝒔 𝒆𝒏𝒖𝒏𝒄𝒊𝒂𝒅𝒐𝒔: Cambio de energía, entalpía estándar de la reacción, ecuación de estado de los gases ideales, trabajo de un gas, entalpía de la reacción, calor de la reacción, cambio de volumen, cambio de moles, Determine ∆E en términos de ΔH0 y un cambio de volumen de gases, Determinar ∆E en términos de ΔH0 y un cambio de volumen de gases, Calcule ∆E en términos de ΔH0 y un cambio de volumen de gases, Calcular ∆E en términos de ΔH0 y un cambio de volumen de gases, Halle ∆E en términos de ΔH0 y un cambio de volumen de gases, Hallar ∆E en términos de ΔH0 y un cambio de volumen de gases,

👉 𝑻𝒆𝒎𝒂𝒔: química, química general, Termoquímica, joseleg, calor, entalpía, entalpía de la reacción, entalpía estándar de la reacción, entalpía específica para una sustancia en la reacción, avance de la reacción


No hay comentarios:

Publicar un comentario

Demostrar ecuaciones para el análisis de combustión y composición porcentual // 🧪 Estequiometría analítica

https://youtu.be/01EP1yULCrA 👉 𝐄𝐧𝐮𝐧𝐜𝐢𝐚𝐝𝐨 : Demuestre las ecuaciones para el problema del análisis de combustión y el análisis de ...