sábado, 5 de febrero de 2022

Hallar el trabajo hecha por una reacción química de gases | 🔥 Termoquímica


👉
Enunciado: Hallar una función que permite calcular el trabajo hecho por una reacción química que involucra gases. Asuma que conoce la cantidad de sustancia de alguno de los reactivos o productos, que todas las demás sustancias se encuentran en cantidades exactas para tener una mezcla estequiométrica, que conocemos la presión, y la temperatura.

|| Enlace a YouTube || Mas ejercicios resueltos termoquímica || Mas ejercicios de otros capítulos || Curso de termoquímica || ¡Si te gustó, suscríbete! ||

👉Demostración de las ecuaciones clave: 

https://quimicadejoselegcuantitativa.blogspot.com/2021/11/termoquimica-entalpia.html

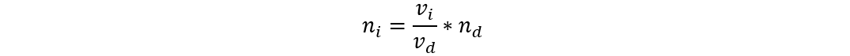
👉Solución: Digamos que tenemos la siguiente reacción química ideal

Expresamos el radio estequiométrico para una reacción no reversible.

Pero la sustancia incógnita se necesita en volumen, por lo que la expresamos en términos de variable de gas.

Por ende

El volumen inicial total del sistema estará determinado por la suma de volúmenes de los reactivos.

Pero podemos reemplazar el volumen de cualquier producto por la relación de estequiometría de gases.

Extraemos los valores constantes de la suma como son las condiciones del gas y los valores que corresponden a la sustancia dato.

El volumen final estará condicionado por una ecuación homóloga pero para los productos.

Por lo que podemos reemplazar en la ecuación de trabajo y simplificamos.

👉Otros enunciados: Determine el trabajo hecho por una reacción química de gases, Determinar el trabajo hecho por una reacción química de gases, Calcule el trabajo hecho por una reacción química de gases, Calcular el trabajo hecho por una reacción química de gases, Halle el trabajo hecho por una reacción química de gases, Halle el trabajo hecho por una reacción química de gases, Hallar el trabajo hecha por una reacción química de gases, 

👉Temas: química, química general, Termoquímica, joseleg, ley de la conservación de la energía

 

No hay comentarios:

Publicar un comentario

Demostrar ecuaciones para el análisis de combustión y composición porcentual // 🧪 Estequiometría analítica

https://youtu.be/01EP1yULCrA 👉 𝐄𝐧𝐮𝐧𝐜𝐢𝐚𝐝𝐨 : Demuestre las ecuaciones para el problema del análisis de combustión y el análisis de ...