(Ciencias de Joseleg) (Química) (Química cuantitativa) (Disoluciones
y propiedades coligativas) (Ejercicios) (Introducción) (Generalidades) (Mezclas
homogéneas y heterogéneas) (Mezclas
homogéneas o disoluciones) (Tipos
de disoluciones) (Introducción
a las unidades de concentración) (Porcentaje
en masa) (Notación
partes por) (Porcentaje
volumen a volumen) (Porcentaje
masa a volumen) (Concentración
molar) (Concentración
normal) (Peso
equivalente y factor equivalente) (Concentración
molal) (Fracción
molar) (Conversiones
entre unidades de concentración líquidas)
(Unidades
de concentración en gases) (Conversiones
de unidades de concentración gaseosas)
(Cambios
de concentración subcríticos) (Alícuotas,
destilaciones y mezclas) (Referencias
bibliográficas)
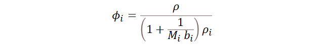
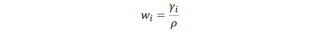
Las conversiones entre unidades de concentración pueden resultar a ser particularmente difíciles con las definiciones químicas, incluso para individuos expertos, es por esto que las definiciones basadas en álgebra son mucho más recomendables.
A continuación, presentaremos las fórmulas para hacer
conversiones entre diferentes unidades de concentración para disoluciones
líquidas, en las cuales la interacción entre soluto y solvente provoca que el
volumen total no sea necesariamente el mismo que la suma de volúmenes de los
componentes.:
96
979899100101108
109110111112113114
115116117118119










































No hay comentarios:
Publicar un comentario