Enunciado: (Química-Chang13-practica-3.17) En la industria, el vanadio metálico, que se utiliza en aleaciones de acero, se puede obtener al hacer reaccionar óxido de vanadio(V) con calcio a temperaturas elevadas: 5Ca + V2O5 → 5CaO + 2V. En un proceso reaccionan 1.54 x 103 g de V2O5 con 1.96 x 103 g de Ca. a) Calcule el rendimiento teórico de V. b) Calcule el porcentaje de rendimiento si se obtienen 803 g de V.
Mas
ejercicios resueltos de química sobre estequiometría:
https://quimicadejoselegcuantitativa.blogspot.com/2021/08/ejercicios-problemas-estequiometria-resueltos.html
Mas
ejercicios resueltos de otros capítulos de química:
https://cienciasdejoseleg.blogspot.com/2021/09/problemas-de-quimica-resueltos.html
Blog de
teoría:
https://quimicadejoselegcuantitativa.blogspot.com/2021/08/estequiometria-analitica.html
Demostración
de las ecuaciones clave:
https://quimicadejoselegcuantitativa.blogspot.com/2021/08/estequiometria-nueva.html
Para ver directo en YouTube: https://youtu.be/BeYJUTh-SmM
Solución:
Primero
determinaremos quien es el reactivo limitante empleando la de Rl que
usamos en el ejemplo 3.15.
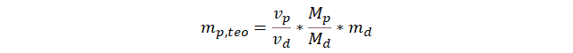
Luego
calcularemos la masa de titanio que debería producirse con la ecuación de estequiometría
mol a mol. En este caso específico la incógnita es la sustancia producto a
nivel teórico
Luego
aplicaremos la ecuación de eficiencia de la reacción.
Para
poder usar las ecuaciones necesitaremos las masas molares de los dos reactivos
y del producto clave.
Reemplazamos en las fórmulas:
(a)
identificar el reactivo limitante:
Como el resultado es negativo, asumimos que el
magnesio está en exceso, por lo que la estequiometría se hace con el reactivo
limitante que es el pentóxido de vanadio.
(b)
calculamos la cantidad teórica del producto clave con los datos del reactivo
limitante:
(c)
calculamos la eficiencia de la reacción:







No hay comentarios:
Publicar un comentario