Enunciado: Una disolución de NaCl al 11.96% en peso posee una densidad 1.086 g/ml, hallar la concentración en gramos litro. Enlace a YouTube
Mas ejercicios resueltos de química
sobre #unidadesdeconcentracion. Mas ejercicios resueltos de otros capítulos
de #química. Curso de #unidadesdeconcentración. ¡Si
te gustó, suscríbete!
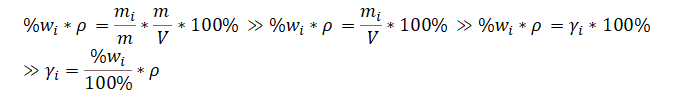
Demostración
de las ecuaciones clave:
Solución:
Igualamos de forma tal que podamos calcular (γi) con (ρ) y (wi).
Reemplazamos y operamos. Recuerde que mili se puede reemplazar por 10-3.
Otros
enunciados: química general de Matamala y González
problema 10.2b resuelto, cuantos gramos hay en un litro de solución de NaCl al
11.96% en peso, hallar la concentración en gramos litro de una solución de NaCl
al 11.96% y densidad 1.086 g/ml, con una solución de NaCl al 11.96% y 1.086
g/ml calcule la concentración gramos por litro, determinar los gramos en un
litro de solución NaCl al 11.96% y 1.086 g/ml.
Temas: química, química general, unidades de
concentración, porcentaje en peso, porcentaje en masa, fracción de masa,
densidad, concentración masa a volumen



No hay comentarios:
Publicar un comentario